近日,由深圳市宝安区人力资源局主办,深圳市宝安区职业训练协会承办,深圳市硬蛋职业技能培训学校有限责任公司、兆易创新科技集团股份有限公司、深圳市宝安区深职训职业培训学校、深圳市宝安区东方职业技能培训中心协办的2025年深圳技能大赛—宝安区智能硬件装调员(集成电路方向)职业技能竞赛落下帷幕。

从10月26日的理论初赛到11月2日的实操决赛,近百位参赛选手历经两轮严苛比拼,最终脱颖而出一批佼佼者,展现了宝安区集成电路领域技能人才的过硬实力。

作为区域内聚焦智能硬件装调专业的重要赛事,本次竞赛结合当下集成电路主流技术和行业应用场景设计考核内容。"理论+实操"的双阶段设置,既检验了选手对智能硬件装调基础理论、产品设计、维修优化等知识的掌握程度,也考察了开发系统组装、驱动程序调试、创新功能开发等实操技能。
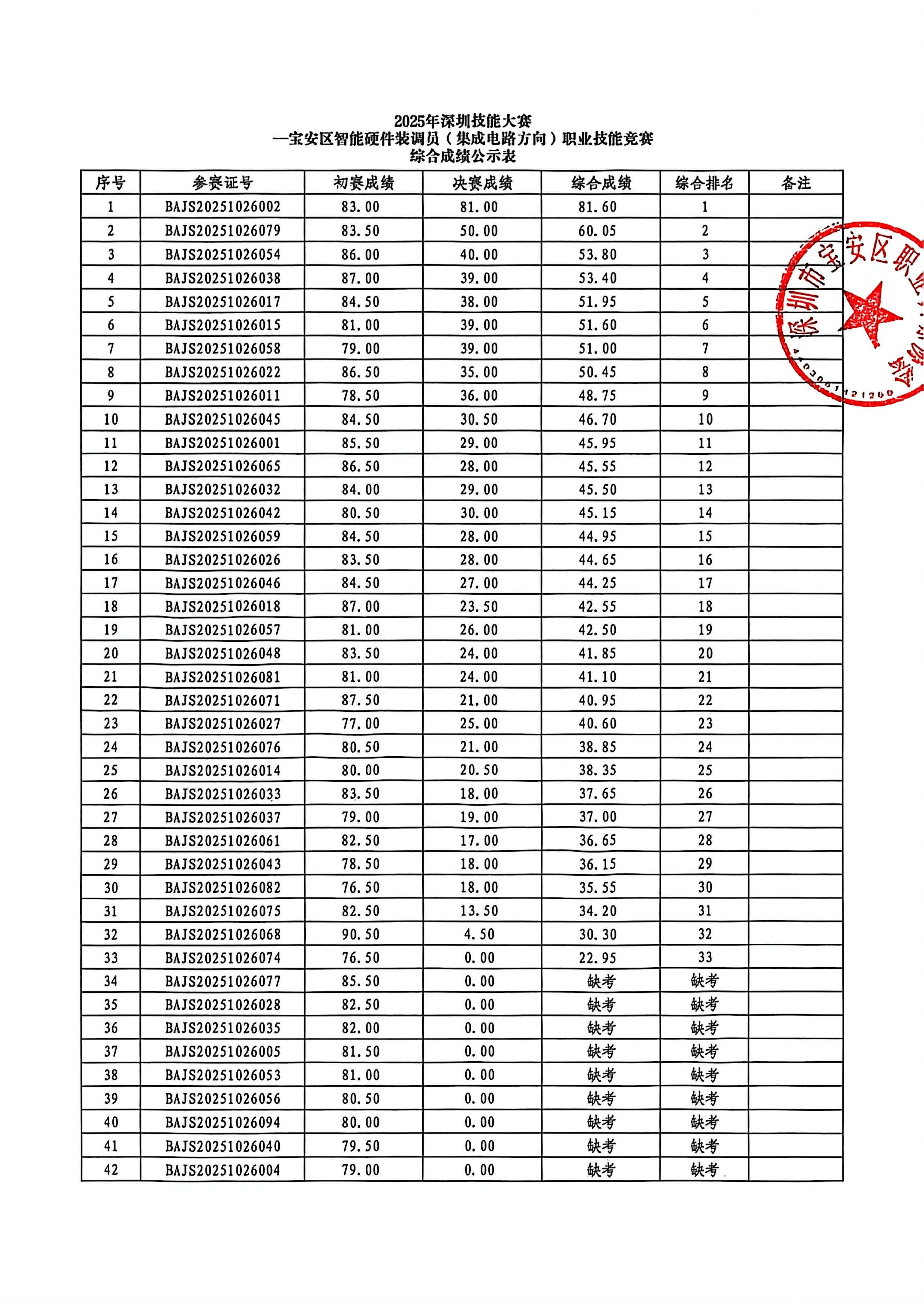
据了解,本次竞赛共分为理论知识初赛和实际操作决赛两个阶段。初赛采用计算机随机抽题与专家命题结合的方式,70%题目源自公开题库,30%由命题专家现场编制,通过单选、多选、判断等题型全面考核理论功底,最终选拔前50名选手晋级决赛。决赛则以现场实操形式展开,选手需在规定时间内完成三个项目的操作任务,从系统组装到程序调试再到技术文档撰写,每一个环节都考验着专业素养。



本次竞赛成绩核算遵循严格标准,综合成绩由初赛成绩(占30%)和决赛成绩(占70%)加权计算得出,初赛及决赛成绩公示期间,未收到选手异议,现将公布本次竞赛综合排名及成绩。


赛事设置了多层次奖励机制,表现突出的选手将有机会被宝安区人力资源局认定为"宝安区技术能手"。根据决赛实际参赛人数,现取前2名认定为“宝安区技术能手”。同时,按决赛人数1:2:3比例设置一、二、三等奖,前50%未获等级奖的选手将获优胜奖。综合成绩前12名的选手还能获得税后现金奖励,最高可达5000元,让我们恭喜获奖选手!
本次赛事为技能人才搭建了交流竞技的平台,宝安区人力资源局下一步将持续挖掘培育优秀人才,为宝安区产业发展注入动力。